Bimodal Distribution
Maths: Statistics for machine learning
2 min read
Published Oct 22 2025, updated Oct 23 2025
Guide Sections
Guide Comments
A Bimodal Distribution is a probability distribution with two distinct peaks (modes).
These peaks represent two different clusters, subpopulations, or data-generating processes within the same dataset.
In simple terms:
“A bimodal distribution looks like two overlapping bell curves — each representing a different group or pattern.”
Key Concept
- A mode is the most frequent value (or region) in a dataset.
- Bimodal = 2 modes (peaks)
- Multimodal = more than 2 modes
The bimodal shape usually indicates that the data come from two different distributions combined — for example, male and female height distributions, or test scores from two different teaching methods.
Mathematical Representation
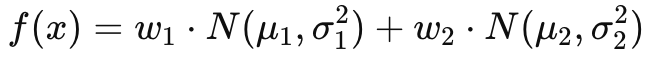
A bimodal distribution is often modelled as a mixture of two normal (Gaussian) distributions:

Where:
- w1,w2 = mixture weights (sum to 1)
- μ1,μ2 = means of each mode
- σ1,σ2 = standard deviations of each mode
Examples
- Human height - Combined male + female data, male and female height peaks
- Exam results - Two teaching methods, students taught differently
- Income data - Two economic classes, low vs high earners
- Pixel intensities - Background vs object pixels, two brightness levels
- Voice pitch - Two genders, male vs female pitch ranges

A histogram and smooth density curve with two clear peaks:
- One centred near
x ≈ 0(Mode 1) - One centred near
x ≈ 5(Mode 2)
The combined distribution is wider and non-symmetric.
The mean lies between the two peaks.
Visualising the Two Components Separately

Shows clearly how two simple normal curves combine to form one bimodal curve.
In Machine Learning
- Data exploration - Detecting multiple clusters or subgroups
- Clustering algorithms - k-Means, GMMs can separate bimodal data
- Anomaly detection - Points between peaks may be low-probability
- Mixture models - Modelled using Gaussian Mixture Models (GMMs)
- Feature engineering - Suggests that separate models/features may be needed per mode














