Estimates in Statistics
Maths: Statistics for machine learning
3 min read
Published Oct 22 2025, updated Oct 23 2025
Guide Sections
Guide Comments
In statistics, an estimate is a value or range of values used to infer information about a population based on data from a sample.
Since it’s often impractical to measure an entire population, we use estimates to make educated guesses about unknown population parameters (like the true mean or proportion).
In simple terms:
“We use a sample to estimate what’s true for the whole population.”
Two Main Types of Estimates
- Point Estimate - A single value used to estimate a population parameter. eg. Sample mean (𝑥̄) as an estimate of population mean (μ)
- Interval Estimate - A range of values that likely contains the true parameter, usually expressed as a confidence interval (CI). eg. 95% CI: 𝑥̄ ± margin of error
Point Estimate
A point estimate gives one “best guess” for a population parameter, based on sample data.

Examples:
- Sample mean (𝑥̄) estimates population mean (μ)
- Sample proportion (p̂) estimates population proportion (p)
- Sample variance (s²) estimates population variance (σ²)
Simple but uncertain: a single value can’t show how confident we are that it’s close to the true population value.
Interval Estimate (Confidence Interval)
An interval estimate gives a range of plausible values for a population parameter — not just a single number.
The most common form is the confidence interval (CI).
Formula (for the mean):

Where:
- 𝑥̄ = sample mean
- Z = Z-score from the standard normal distribution (e.g. 1.96 for 95% CI)
- σ = population standard deviation (or sample estimate)
- n = sample size
Interpretation
- A 95% confidence interval means that if we repeated sampling many times, about 95% of those intervals would contain the true population mean.
- It doesn’t mean there’s a 95% chance the mean is in this one interval — the parameter is fixed; the interval varies.
Confidence intervals show both estimate and uncertainty.
Common Confidence Levels
Confidence Level | Z-Score | Meaning |
90% | 1.645 | Narrower interval, less confidence |
95% | 1.96 | Standard balance of accuracy and reliability |
99% | 2.576 | Wider interval, more confidence |
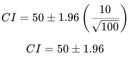
Example
If your sample mean = 50, standard deviation = 10, and sample size = 100:

95% Confidence Interval = (48.04, 51.96)
You’re 95% confident that the true population mean lies between 48.04 and 51.96.
In Machine Learning
- Model evaluation - Confidence intervals around performance metrics (accuracy, precision, recall)
- Feature analysis - Estimating uncertainty in feature effects or coefficients
- A/B testing - Determining if performance differences are statistically significant
- Sampling models - Estimating population parameters from subsets of data














