Standard Normal Distribution (Z-Score)
Maths: Statistics for machine learning
2 min read
Published Oct 22 2025, updated Oct 23 2025
Guide Sections
Guide Comments
The Standard Normal Distribution is a special case of the Normal Distribution where μ=0 and σ=1.
That means:
- The mean (centre) = 0
- The standard deviation (spread) = 1
It’s used to measure how far a value is from the mean in standard deviation units — this distance is called the Z-score.
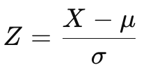
Z-Score Formula

Where:
- X = original data value
- μ = population mean
- σ = population standard deviation
The Z-score tells you how many standard deviations away a value is from the mean.
Interpretation
Z-Score | Meaning |
0 | Exactly at the mean |
+1 | 1 standard deviation above mean |
-1 | 1 standard deviation below mean |
+2 | 2 standard deviations above mean |
-2 | 2 standard deviations below mean |
> +3 or < -3 | Unusually extreme (outlier) |
Why Use Z-Scores?
Z-scores standardise data — making different variables comparable even if they have different units or scales.
For example:
A test score of 75 in Math and 82 in English — which is better?
Z-scores let you compare them on the same relative scale.
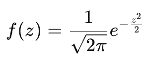
Probability Density Function (PDF)
For the standard normal distribution:

- The curve is symmetric around 0
- The total area = 1 (represents 100% probability)
Cumulative Distribution Function (CDF)

Represents the probability that a standard normal variable is less than or equal to a given Z-score.

- Left plot (PDF):
- A bell-shaped curve centered at 0
- Colored areas show probabilities for ±1σ, ±2σ, ±3σ
- Right plot (CDF):
- Smooth S-shaped curve
- Represents cumulative probability up to each Z-score
The area under the curve corresponds to probability
Z-scores make probability lookup easy using Z-tables
In Machine Learning
- Feature standardisation - Convert all features to mean=0, std=1 before training
- Distance-based algorithms - Important for SVMs, KNNs, PCA, clustering
- Outlier detection - Extreme Z-scores
- Probability modelling - Z-scores convert any normal variable to standard form
- Evaluation metrics - Used in Z-tests, confidence intervals, etc.














