Uniform Distribution
Maths: Statistics for machine learning
2 min read
Published Oct 22 2025, updated Oct 23 2025
Guide Sections
Guide Comments
The Uniform Distribution is a probability distribution in which all outcomes are equally likely.
That means:
Every value within a given range has the same probability of occurring.
There are two main types:
- Discrete Uniform Distribution → finite number of equally likely outcomes (e.g., rolling a fair die)
- Continuous Uniform Distribution → infinite number of equally likely values within an interval [a,b]
1. Continuous Uniform Distribution
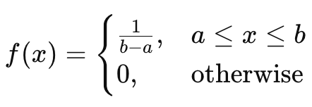
Probability Density Function (PDF)

Where:
- a = minimum value
- b = maximum value
- f(x) = constant height (flat line)
The total area under the curve = 1.
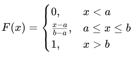
Cumulative Distribution Function (CDF)

The CDF increases linearly from 0 → 1 as x moves from a to b.
Examples
- Random number between 0 and 1 - Every number equally likely
- Bus arrival time (if unknown within hour) - Any minute equally likely
- Random pixel intensity - Equal chance for any grayscale value

- Left Plot (PDF) → a flat, horizontal line between
a=0andb=10, showing all values are equally likely. - Right Plot (CDF) → a straight, diagonal line increasing from 0 to 1, showing cumulative probability grows evenly.
The total area under the PDF = 1
The slope of the CDF = constant (since probability is uniform)
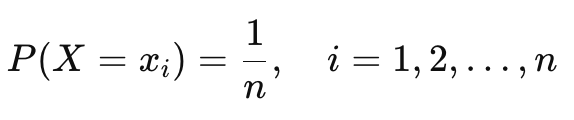
2. Discrete Uniform Distribution
A Discrete Uniform Distribution has a finite set of equally likely outcomes.

Where nnn = number of possible outcomes.
Example
Rolling a fair 6-sided die:
x | 1 | 2 | 3 | 4 | 5 | 6 |
P(X=x) | 1/6 | 1/6 | 1/6 | 1/6 | 1/6 | 1/6 |
Every outcome is equally likely, just like in the continuous case but with discrete values.
In Machine Learning
- Random initialisation - Weights or biases initialised from a uniform range
- Random sampling - Generating random feature subsets or values
- Monte Carlo simulations - Random uniform sampling for probability estimation
- Data augmentation - Random transformations drawn from uniform ranges
- Synthetic data generation - Evenly distributed continuous random values














