ECDF - empirical cumulative distribution function

Seaborn basics

2 min read

Published Oct 7 2025


24
0
0
0

ChartsGraphsMatplotlibNumPyPandasPythonSeabornVisualisation

seaborn.ecdfplot() plots the Empirical Cumulative Distribution Function (ECDF) of one or more numeric variables.

An ECDF shows, for each value, the proportion (or count) of data points less than or equal to that value.

It’s especially useful for comparing distributions and seeing how data accumulates across values — without the binning of histograms.


Syntax:

sns.ecdfplot(
    data=None,
    *,
    x=None,
    y=None,
    hue=None,
    stat="proportion",
    complementary=False,
    log_scale=False,
    palette=None,
    linewidth=None,
    linestyle=None,
    marker=None,
    alpha=None,
    ax=None,
    **kwargs
)

Parameters:

  • data = DataFrame containing your data
  • x, y = Variables for ECDF axes
  • hue = Adds subgroups (coloured lines)
  • stat = "proportion" (default) or "count" — what the y-axis represents
  • complementary = If True, shows 1 - ECDF(x) (reverse cumulative)
  • log_scale = Apply logarithmic scale to axes
  • palette = Colour palette for hue categories
  • linewidth, linestyle, marker = Line appearance controls
  • alpha = Transparency (0–1)




Basic example

import seaborn as sns
import matplotlib.pyplot as plt

tips = sns.load_dataset("tips")

sns.ecdfplot(data=tips, x="total_bill")
plt.show()

Shows how the fraction of observations increases as total_bill grows. The ECDF starts at 0 and rises smoothly to 1.


seaborn ecd plot basic example





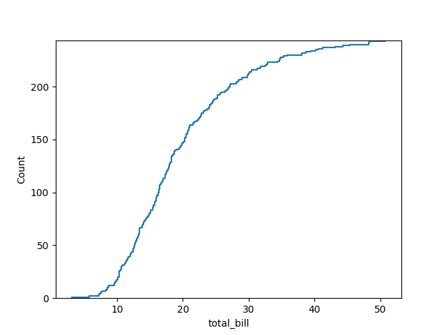
Show counts instead of proportions

import seaborn as sns
import matplotlib.pyplot as plt

tips = sns.load_dataset("tips")

sns.ecdfplot(data=tips, x="total_bill", stat="count")
plt.show()

The y-axis now shows number of observations, not proportion.


seaborn ecd plot count example





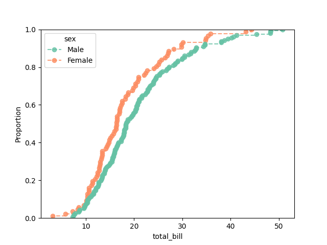
Add hue for group comparison

import seaborn as sns
import matplotlib.pyplot as plt

tips = sns.load_dataset("tips")

sns.ecdfplot(data=tips, x="total_bill", hue="sex", palette="Set2")
plt.show()

Each colour shows a separate ECDF for that group (e.g., Male vs. Female).


seaborn ecd plot hue example





Compare multiple categories

import seaborn as sns
import matplotlib.pyplot as plt

tips = sns.load_dataset("tips")

sns.ecdfplot(data=tips, x="total_bill", hue="day", palette="coolwarm")
plt.show()

Easy way to compare how different days accumulate totals - the steeper the curve, the more concentrated the data.


seaborn ecd plot multiple example





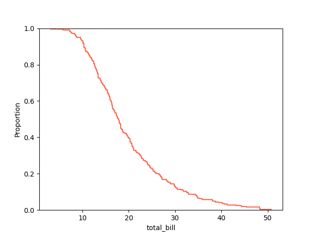
Complementary ECDF (1 − ECDF)

import seaborn as sns
import matplotlib.pyplot as plt

tips = sns.load_dataset("tips")

sns.ecdfplot(data=tips, x="total_bill", complementary=True, color="tomato")
plt.show()

Shows 1 - ECDF(x), which represents, “the proportion of data points greater than x”.


seaborn ecd plot complementary example





Horizontal orientation

import seaborn as sns
import matplotlib.pyplot as plt

tips = sns.load_dataset("tips")

sns.ecdfplot(data=tips, y="total_bill")
plt.show()

Simply swap x for y to flip the plot orientation.


seaborn ecd plot horizontal example





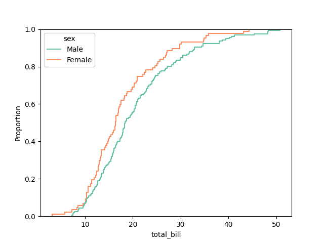
Add markers or lines

import seaborn as sns
import matplotlib.pyplot as plt

tips = sns.load_dataset("tips")

sns.ecdfplot(
    data=tips,
    x="total_bill",
    hue="sex",
    palette="Set2",
    marker="o",
    linestyle="--",
    alpha=0.8
)
plt.show()

Makes the plot more visually distinctive, especially for overlapping curves.


seaborn ecd plot markers example





Logarithmic scale

import seaborn as sns
import matplotlib.pyplot as plt

tips = sns.load_dataset("tips")

sns.ecdfplot(data=tips, x="total_bill", log_scale=True)
plt.show()

Useful when values span several orders of magnitude.


seaborn ecd plot log example





Custom style example

import seaborn as sns
import matplotlib.pyplot as plt

tips = sns.load_dataset("tips")

sns.ecdfplot(
    data=tips,
    x="total_bill",
    hue="day",
    palette="viridis",
    linewidth=2,
    alpha=0.9
)
plt.title("ECDF of Total Bill by Day")
plt.show()

seaborn ecd plot style example

Products from our shop

Docker Cheat Sheet - Print at Home Designs

Docker Cheat Sheet - Print at Home Designs

Docker Cheat Sheet Mouse Mat

Docker Cheat Sheet Mouse Mat

Docker Cheat Sheet Travel Mug

Docker Cheat Sheet Travel Mug

Docker Cheat Sheet Mug

Docker Cheat Sheet Mug

Vim Cheat Sheet - Print at Home Designs

Vim Cheat Sheet - Print at Home Designs

Vim Cheat Sheet Mouse Mat

Vim Cheat Sheet Mouse Mat

Vim Cheat Sheet Travel Mug

Vim Cheat Sheet Travel Mug

Vim Cheat Sheet Mug

Vim Cheat Sheet Mug

SimpleSteps.guide branded Travel Mug

SimpleSteps.guide branded Travel Mug

Developer Excuse Javascript - Travel Mug

Developer Excuse Javascript - Travel Mug

Developer Excuse Javascript Embroidered T-Shirt - Dark

Developer Excuse Javascript Embroidered T-Shirt - Dark

Developer Excuse Javascript Embroidered T-Shirt - Light

Developer Excuse Javascript Embroidered T-Shirt - Light

Developer Excuse Javascript Mug - White

Developer Excuse Javascript Mug - White

Developer Excuse Javascript Mug - Black

Developer Excuse Javascript Mug - Black

SimpleSteps.guide branded stainless steel water bottle

SimpleSteps.guide branded stainless steel water bottle

Developer Excuse Javascript Hoodie - Light

Developer Excuse Javascript Hoodie - Light

Developer Excuse Javascript Hoodie - Dark

Developer Excuse Javascript Hoodie - Dark

© 2025 SimpleSteps.guide
AboutFAQPoliciesContact